Решака - онлайн ответы Математика Никольский, Потапов за 5 класс Учебник ФГОС 2016 - 870
Решебник 1
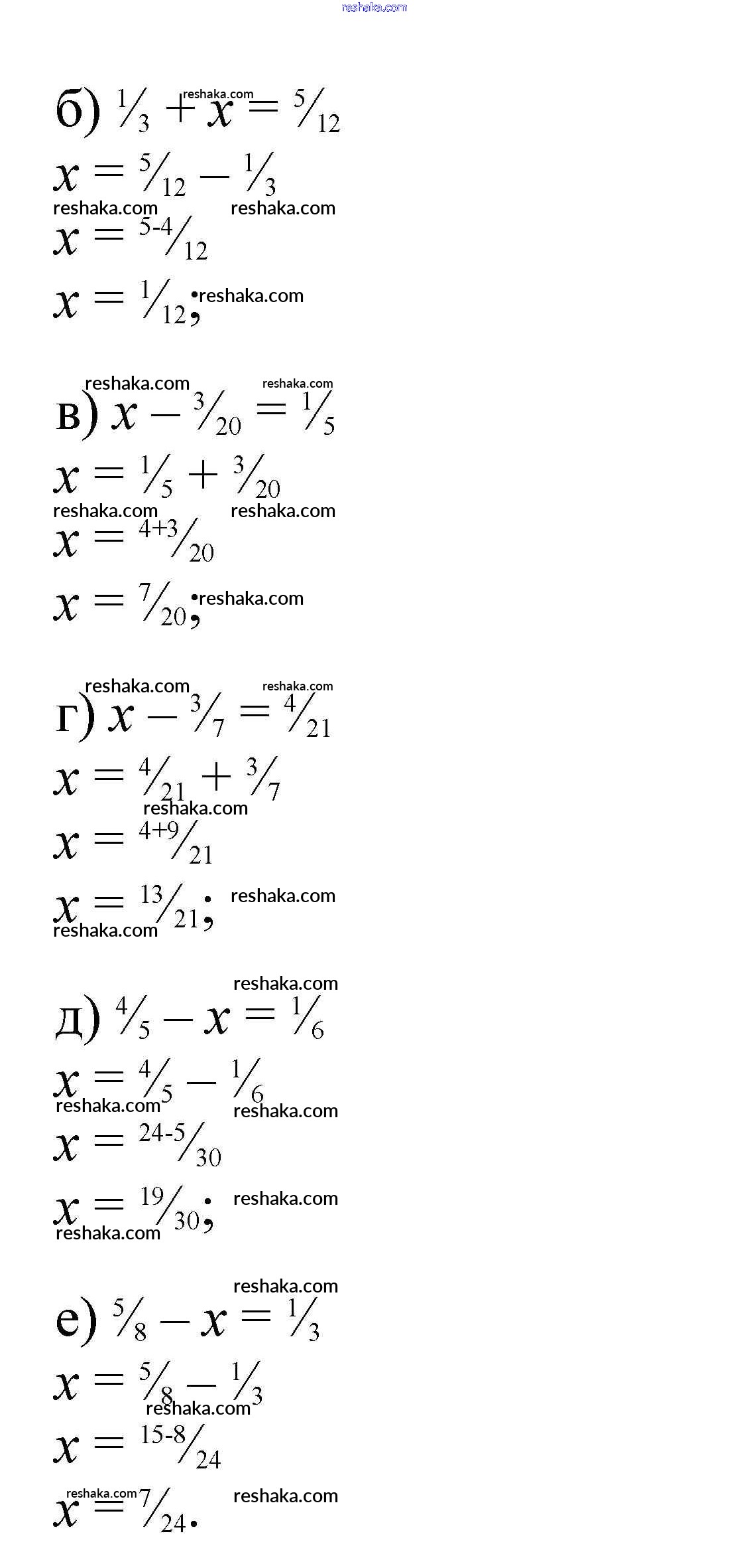
упражнение / 870


Решебник 2
упражнение / 870


Решебник 3
упражнение / 870

Решебник 4
упражнение / 870

Решебник 5 (2012)
упражнение / 870

Представляем вам сборники по Математике, с готовыми ответами к Учебнику Никольский школьной программы для учеников пятый класса. Это не просто гдз с ответом, а с подсказками, как верно решить Упражнения 870. Проверяй домашку с умом и получай высший балл!