Лого сайта Reshaka.com

Решака - онлайн ответы Математика Виленкин, Жохов за 5 класс Учебник ФГОС 2018 - 737

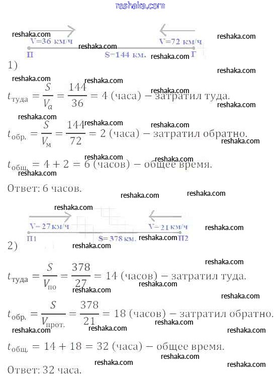
Представляем вам сборники по Математике, с готовыми ответами к Учебнику Виленкин школьной программы для учеников пятый класса. Это не просто гдз с ответом, а с подсказками, как верно решить §4. Площади и объемы 737. Проверяй домашку с умом и получай высший балл!