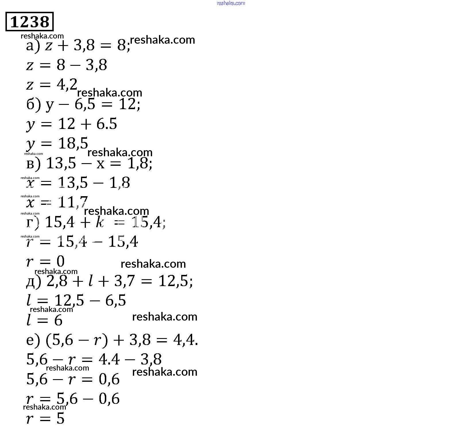
Решака - онлайн ответы Математика Виленкин, Жохов за 5 класс Учебник ФГОС 2013 - 1238
Решебник №1
глава 2 / 1238

Решебник №2
глава 2 / 1238

Решебник №3
глава 2 / 1238


Решебник №4
глава 2 / 1238






Решебник №6
глава 2 / 1238

Решебник №8
глава 2 / 1238

Представляем вам сборники по Математике, с готовыми ответами к Учебнику Виленкин школьной программы для учеников пятый класса. Это не просто гдз с ответом, а с подсказками, как верно решить Глава 2. Дробные числа (упражнения с 850 по 1849) 1238. Проверяй домашку с умом и получай высший балл!