Лого сайта Reshaka.com

Решака - онлайн ответы Математика Зубарева, Мордкович за 5 класс Учебник ФГОС 2015 - 41

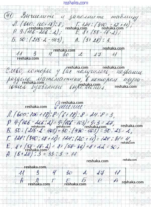
Решебник 1

упражнение / 41

Решебник 2

упражнение / 41

Решебник 3

упражнение / 41

Решебник 4

упражнение / 41

Решебник 5

упражнение / 41

Представляем вам сборники по Математике, с готовыми ответами к Учебнику Зубарева школьной программы для учеников пятый класса. Это не просто гдз с ответом, а с подсказками, как верно решить Упражнения 41. Проверяй домашку с умом и получай высший балл!