Лого сайта Reshaka.com

Решака - онлайн ответы Математика Бунимович, Кузнецова за 6 класс Учебник ФГОС 2014 - 647

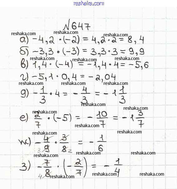
Решебник 1

упражнение / 647

Решебник 2

упражнение / 647

Решебник 3

упражнение / 647

Представляем вам сборники по Математике, с готовыми ответами к Учебнику Бунимович школьной программы для учеников шестой класса. Это не просто гдз с ответом, а с подсказками, как верно решить Упражнения 647. Проверяй домашку с умом и получай высший балл!