Лого сайта Reshaka.com

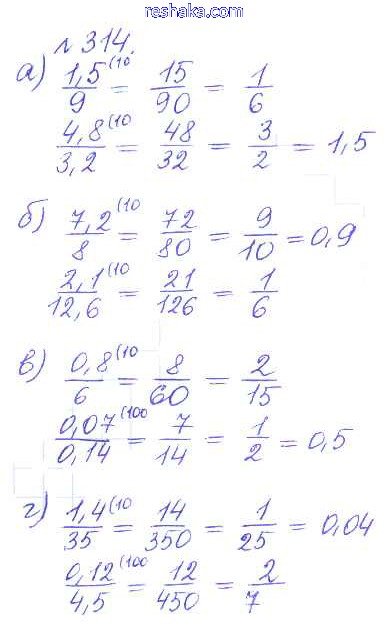
Решака - онлайн ответы Математика Бунимович, Кузнецова за 6 класс Задачник ФГОС 2014 - 314

Решебник

упражнение / 314

Решебник 2

упражнение / 314

Представляем вам сборники по Математике, с готовыми ответами к Задачнику Бунимович школьной программы для учеников шестой класса. Это не просто гдз с ответом, а с подсказками, как верно решить Упражнения 314. Проверяй домашку с умом и получай высший балл!