Лого сайта Reshaka.com

Решака - онлайн ответы Математика Бунимович, Кузнецова за 6 класс Задачник ФГОС 2014 - 500

Решебник

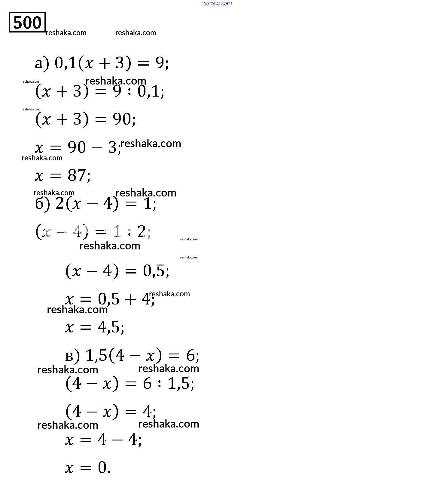
упражнение / 500

Решебник 2

упражнение / 500

Представляем вам сборники по Математике, с готовыми ответами к Задачнику Бунимович школьной программы для учеников шестой класса. Это не просто гдз с ответом, а с подсказками, как верно решить Упражнения 500. Проверяй домашку с умом и получай высший балл!