Лого сайта Reshaka.com

Решака - онлайн ответы Математика Бунимович, Кузнецова за 6 класс Задачник ФГОС 2014 - 595

Решебник

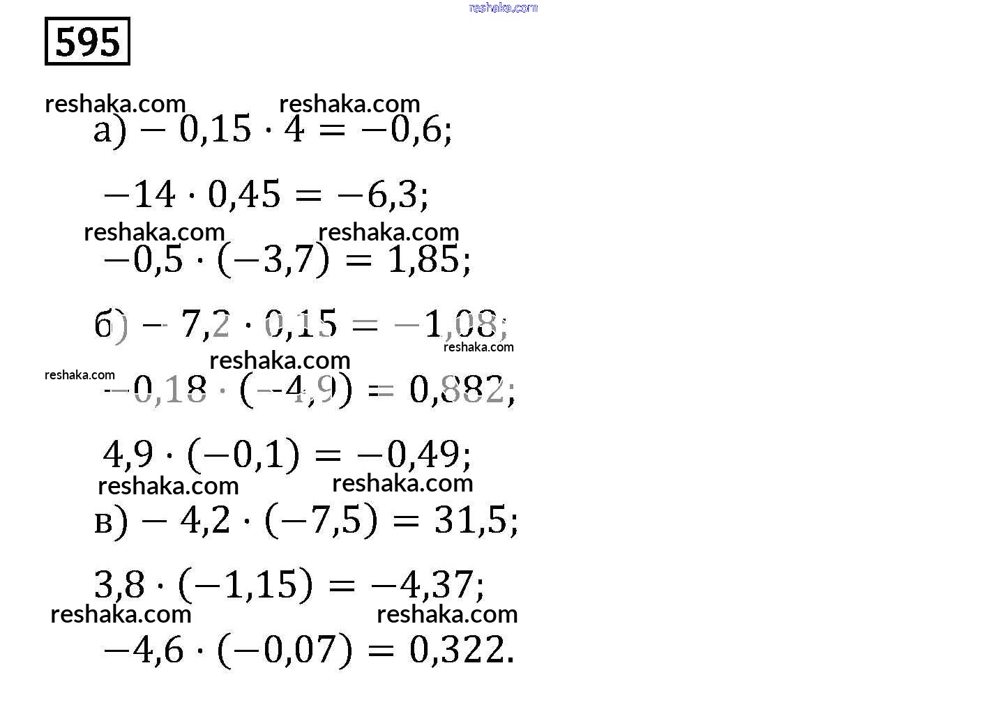
упражнение / 595

Решебник 2

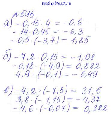
упражнение / 595

Представляем вам сборники по Математике, с готовыми ответами к Задачнику Бунимович школьной программы для учеников шестой класса. Это не просто гдз с ответом, а с подсказками, как верно решить Упражнения 595. Проверяй домашку с умом и получай высший балл!