Решака - онлайн ответы Математика Чесноков, Нешков за 6 класс Дидактические материалы ФГОС 2014 - 67
Решебник 1
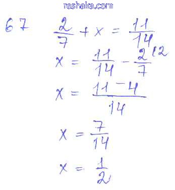
самостоятельная работа / вариант 2 / 67

Решебник 2
самостоятельная работа / вариант 2 / 67

Представляем вам сборники по Математике, с готовыми ответами к Дидактическим материалам Чесноков школьной программы для учеников шестой класса. Это не просто гдз с ответом, а с подсказками, как верно решить Вариант 2 Самостоятельные работы 67. Проверяй домашку с умом и получай высший балл!