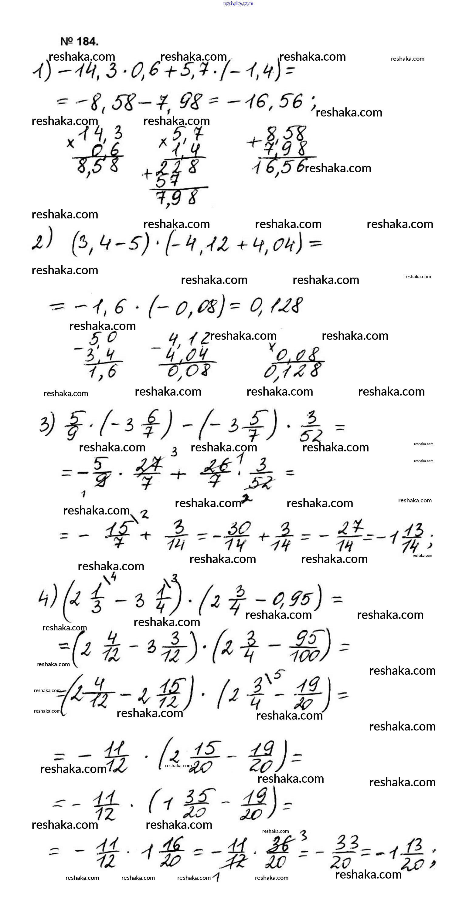
Решака - онлайн ответы Математика Мерзляк, Полонский за 6 класс Дидактические материалы ФГОС 2017 - 184
Решебник 1
упражнения. вариант / вариант 1 / 184

Решебник 2
упражнения. вариант / вариант 1 / 184

Решебник 3
упражнения. вариант / вариант 1 / 184


Решебник 4
упражнения. вариант / вариант 1 / 184

Представляем вам сборники по Математике, с готовыми ответами к Дидактическим материалам Мерзляк школьной программы для учеников шестой класса. Это не просто гдз с ответом, а с подсказками, как верно решить Вариант 1 Упражнения. Варианты 184. Проверяй домашку с умом и получай высший балл!