Решака - онлайн ответы Математика Мерзляк, Полонский за 6 класс Дидактические материалы ФГОС 2017 - 141
Решебник 1
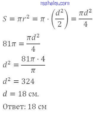
упражнения. вариант / вариант 4 / 141

Решебник 3
упражнения. вариант / вариант 4 / 141

Решебник 4
упражнения. вариант / вариант 4 / 141

Представляем вам сборники по Математике, с готовыми ответами к Дидактическим материалам Мерзляк школьной программы для учеников шестой класса. Это не просто гдз с ответом, а с подсказками, как верно решить Вариант 4 Упражнения. Варианты 141. Проверяй домашку с умом и получай высший балл!