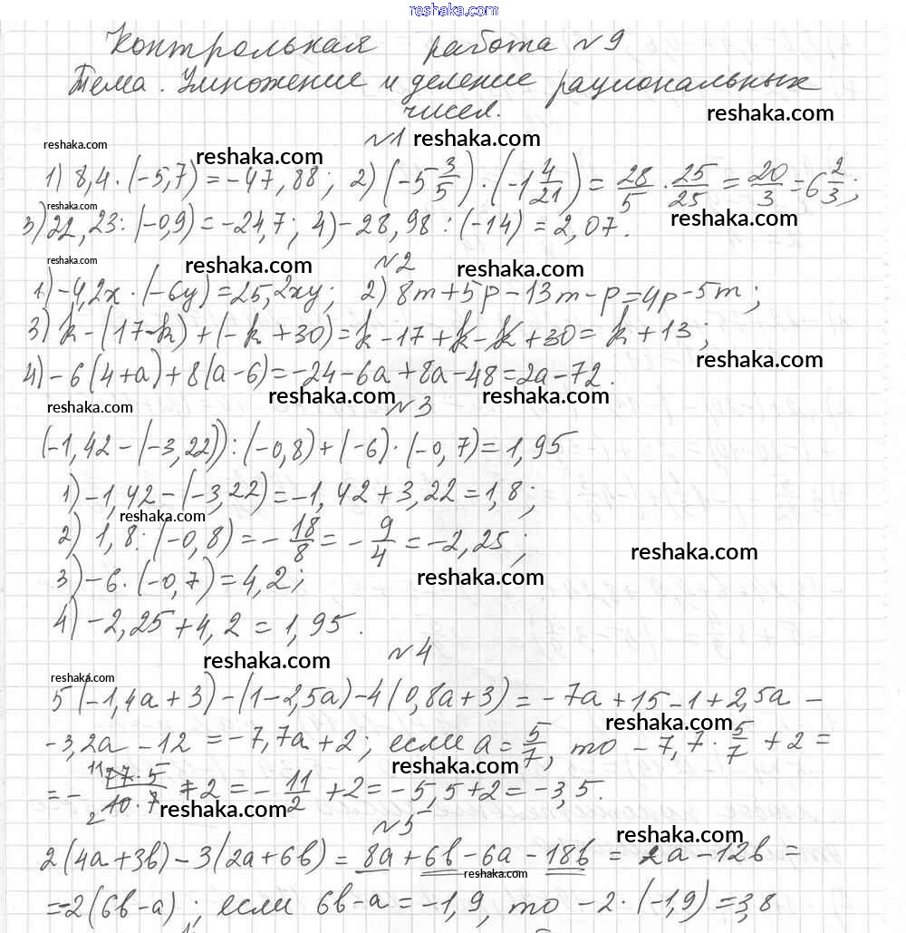
Решака - онлайн ответы Математика Мерзляк, Полонский за 6 класс Дидактические материалы ФГОС 2017 - 2
Решебник 1
контрольная работа / кр-9. вариант / 2

Решебник 2
контрольная работа / кр-9. вариант / 2

Решебник 3
контрольная работа / кр-9. вариант / 2


Решебник 4
контрольная работа / кр-9. вариант / 2





Представляем вам сборники по Математике, с готовыми ответами к Дидактическим материалам Мерзляк школьной программы для учеников шестой класса. Это не просто гдз с ответом, а с подсказками, как верно решить КР-9. Варианты Контрольные работы 2. Проверяй домашку с умом и получай высший балл!