Лого сайта Reshaka.com

Решака - онлайн ответы Математика Мерзляк, Полонский за 6 класс Учебник ФГОС 2016 - 555

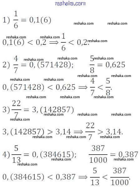
Решебник №1

глава 2 / 555

Решебник №2

глава 2 / 555

Решебник №3

глава 2 / 555

Решебник №4

глава 2 / 555

Решебник №5

глава 2 / 555

Решебник №6

глава 2 / 555

Представляем вам сборники по Математике, с готовыми ответами к Учебнику Мерзляк школьной программы для учеников шестой класса. Это не просто гдз с ответом, а с подсказками, как верно решить Глава 2. Обыкновенные дроби (упражнения) 555. Проверяй домашку с умом и получай высший балл!