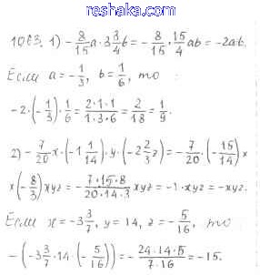
Решака - онлайн ответы Математика Мерзляк, Полонский за 6 класс Учебник ФГОС 2016 - 1063
Решебник №1
глава 4 / 1063

Решебник №2
глава 4 / 1063

Решебник №3
глава 4 / 1063


Решебник №4
глава 4 / 1063

Решебник №5
глава 4 / 1063

Решебник №6
глава 4 / 1063

Представляем вам сборники по Математике, с готовыми ответами к Учебнику Мерзляк школьной программы для учеников шестой класса. Это не просто гдз с ответом, а с подсказками, как верно решить Глава 4. Рациональные числа и действия над ними (упражнения) 1063. Проверяй домашку с умом и получай высший балл!