Лого сайта Reshaka.com

Решака - онлайн ответы Математика Мерзляк, Полонский за 6 класс Учебник ФГОС 2016 - 1126

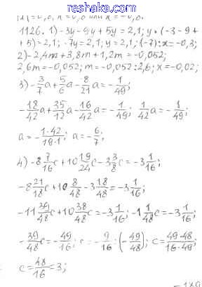
Решебник №1

глава 4 / 1126

Решебник №2

глава 4 / 1126

Решебник №3

глава 4 / 1126

Решебник №4

глава 4 / 1126

Решебник №5

глава 4 / 1126

Решебник №6

глава 4 / 1126

Представляем вам сборники по Математике, с готовыми ответами к Учебнику Мерзляк школьной программы для учеников шестой класса. Это не просто гдз с ответом, а с подсказками, как верно решить Глава 4. Рациональные числа и действия над ними (упражнения) 1126. Проверяй домашку с умом и получай высший балл!