Лого сайта Reshaka.com

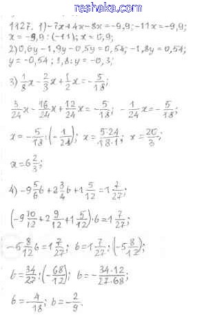
Решака - онлайн ответы Математика Мерзляк, Полонский за 6 класс Учебник ФГОС 2016 - 1127

Решебник №1

глава 4 / 1127

Решебник №2

глава 4 / 1127

Решебник №3

глава 4 / 1127

Решебник №4

глава 4 / 1127

Решебник №5

глава 4 / 1127

Решебник №6

глава 4 / 1127

Представляем вам сборники по Математике, с готовыми ответами к Учебнику Мерзляк школьной программы для учеников шестой класса. Это не просто гдз с ответом, а с подсказками, как верно решить Глава 4. Рациональные числа и действия над ними (упражнения) 1127. Проверяй домашку с умом и получай высший балл!