Лого сайта Reshaka.com

Решака - онлайн ответы Математика Мерзляк, Полонский за 6 класс Учебник ФГОС 2016 - 10

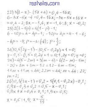
Решебник №2

приложение / 10

Решебник №3

приложение / 10

Решебник №4

приложение / 10

Представляем вам сборники по Математике, с готовыми ответами к Учебнику Мерзляк школьной программы для учеников шестой класса. Это не просто гдз с ответом, а с подсказками, как верно решить Приложения к учебнику 10. Проверяй домашку с умом и получай высший балл!