Лого сайта Reshaka.com

Решака - онлайн ответы Математика Муравин, Муравина за 6 класс Учебник ФГОС 2016 - 464

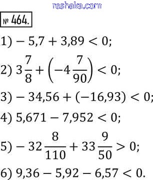
Представляем вам сборники по Математике, с готовыми ответами к Учебнику Муравин школьной программы для учеников шестой класса. Это не просто гдз с ответом, а с подсказками, как верно решить §15. Сложение и вычитание чисел 464. Проверяй домашку с умом и получай высший балл!