Решака - онлайн ответы Математика Муравин, Муравина за 6 класс Учебник ФГОС 2016 - 755
Решебник
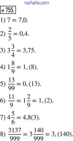
повторение / из истории математики / 755

Представляем вам сборники по Математике, с готовыми ответами к Учебнику Муравин школьной программы для учеников шестой класса. Это не просто гдз с ответом, а с подсказками, как верно решить Из истории математики Повторение 755. Проверяй домашку с умом и получай высший балл!