Решака - онлайн ответы Математика Муравин, Муравина за 6 класс Учебник ФГОС 2016 - 861
Решебник
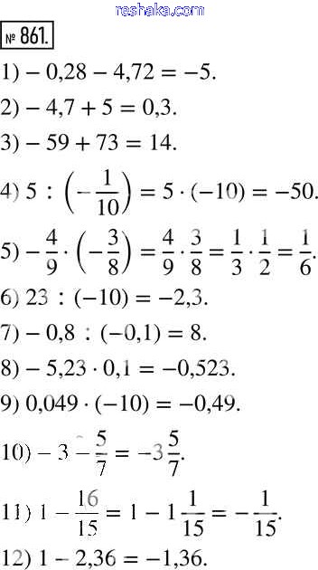
повторение / вычислительный практикум / 861

Представляем вам сборники по Математике, с готовыми ответами к Учебнику Муравин школьной программы для учеников шестой класса. Это не просто гдз с ответом, а с подсказками, как верно решить Вычислительный практикум Повторение 861. Проверяй домашку с умом и получай высший балл!