Решака - онлайн ответы Математика Петерсон, Дорофеев за 6 класс Учебник ФГОС 2014 - 751
Решебник №1
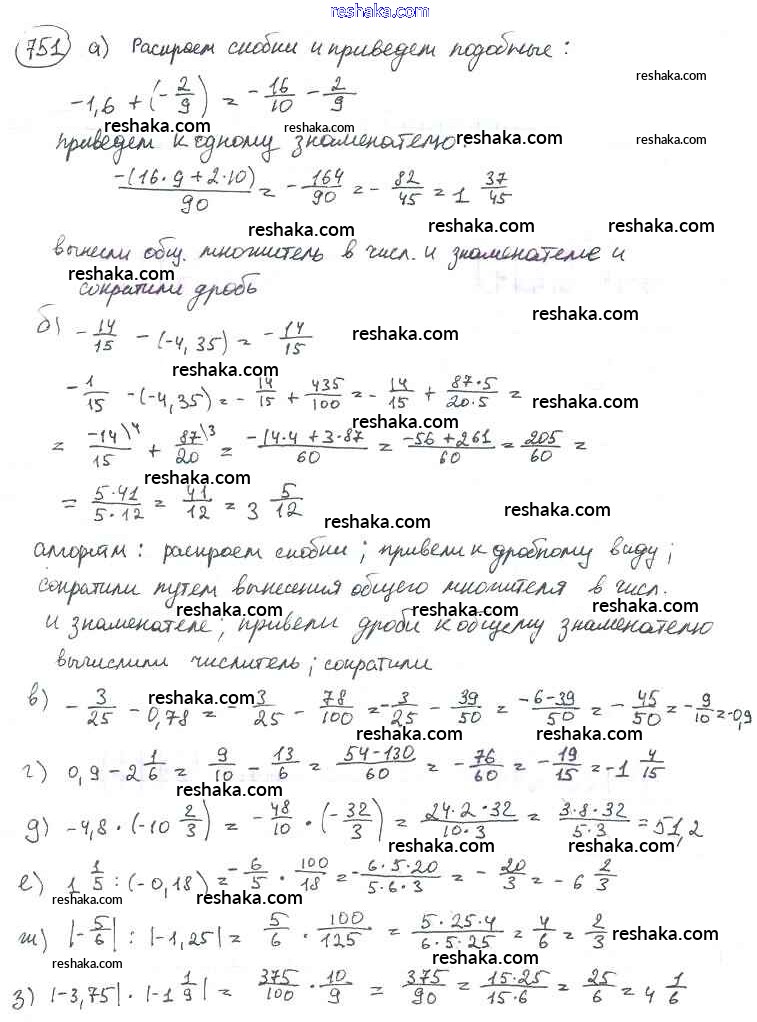
часть 3. упражнение / 751

Решебник №2
часть 3. упражнение / 751

Представляем вам сборники по Математике, с готовыми ответами к Учебнику Петерсон школьной программы для учеников шестой класса. Это не просто гдз с ответом, а с подсказками, как верно решить Часть 3. Упражнения 751. Проверяй домашку с умом и получай высший балл!