Решака - онлайн ответы Математика Попов за 6 класс Дидактические материалы ФГОС 2017 - 4
Решебник
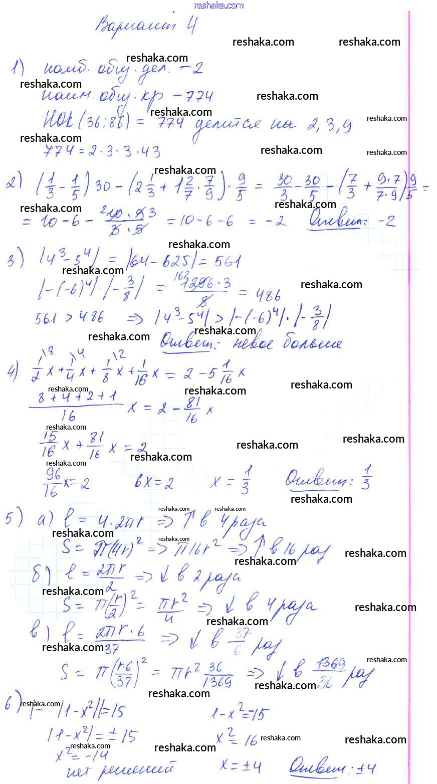
контрольная работа / кр-10. вариант / 4

Представляем вам сборники по Математике, с готовыми ответами к Дидактическим материалам Попов школьной программы для учеников шестой класса. Это не просто гдз с ответом, а с подсказками, как верно решить КР-10. Варианты Контрольные работы 4. Проверяй домашку с умом и получай высший балл!