Лого сайта Reshaka.com

Решака - онлайн ответы Математика Виленкин, Жохов за 6 класс Учебник ФГОС 2014 - 832

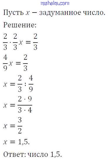
Решебник №1

глава 1 / §4 / 832

Решебник №2

глава 1 / §4 / 832

Решебник №3

глава 1 / §4 / 832

Решебник №4

глава 1 / §4 / 832

Решебник №5

глава 1 / §4 / 832

Решебник №7

глава 1 / §4 / 832

Решебник №9

глава 1 / §4 / 832

Представляем вам сборники по Математике, с готовыми ответами к Учебнику Виленкин школьной программы для учеников шестой класса. Это не просто гдз с ответом, а с подсказками, как верно решить §4. Отношения и пропорции Глава 1 832. Проверяй домашку с умом и получай высший балл!