Лого сайта Reshaka.com

Решака - онлайн ответы Математика Виленкин, Жохов за 6 класс Учебник ФГОС 2014 - 1374

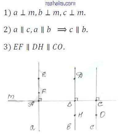
Решебник №1

глава 2 / §9 / 1374

Решебник №2

глава 2 / §9 / 1374

Решебник №3

глава 2 / §9 / 1374

Решебник №4

глава 2 / §9 / 1374

Решебник №5

глава 2 / §9 / 1374

Решебник №7

глава 2 / §9 / 1374

Решебник №9

глава 2 / §9 / 1374

Представляем вам сборники по Математике, с готовыми ответами к Учебнику Виленкин школьной программы для учеников шестой класса. Это не просто гдз с ответом, а с подсказками, как верно решить §9. Координаты на плоскости Глава 2 1374. Проверяй домашку с умом и получай высший балл!