Решака - онлайн ответы Математика Журавлев, Изотова за 6 класс Контрольные и самостоятельные работы ФГОС 2015 - 3
Решебник
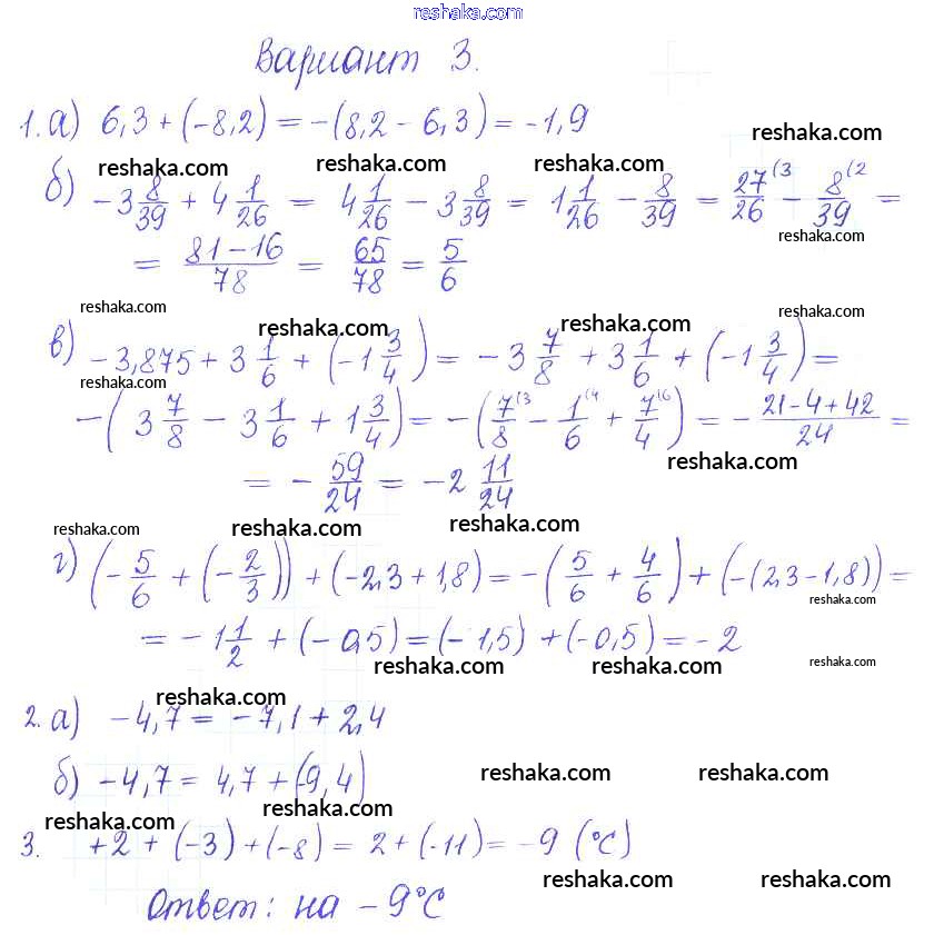
самостоятельная работа / ср-32. вариант / 3

Представляем вам сборники по Математике, с готовыми ответами к Контрольным и самостоятельным работам Журавлев школьной программы для учеников шестой класса. Это не просто гдз с ответом, а с подсказками, как верно решить СР-32. Варианты Самостоятельные работы 3. Проверяй домашку с умом и получай высший балл!