Решака - онлайн ответы Математика Журавлев, Изотова за 6 класс Контрольные и самостоятельные работы ФГОС 2015 - 4
Решебник
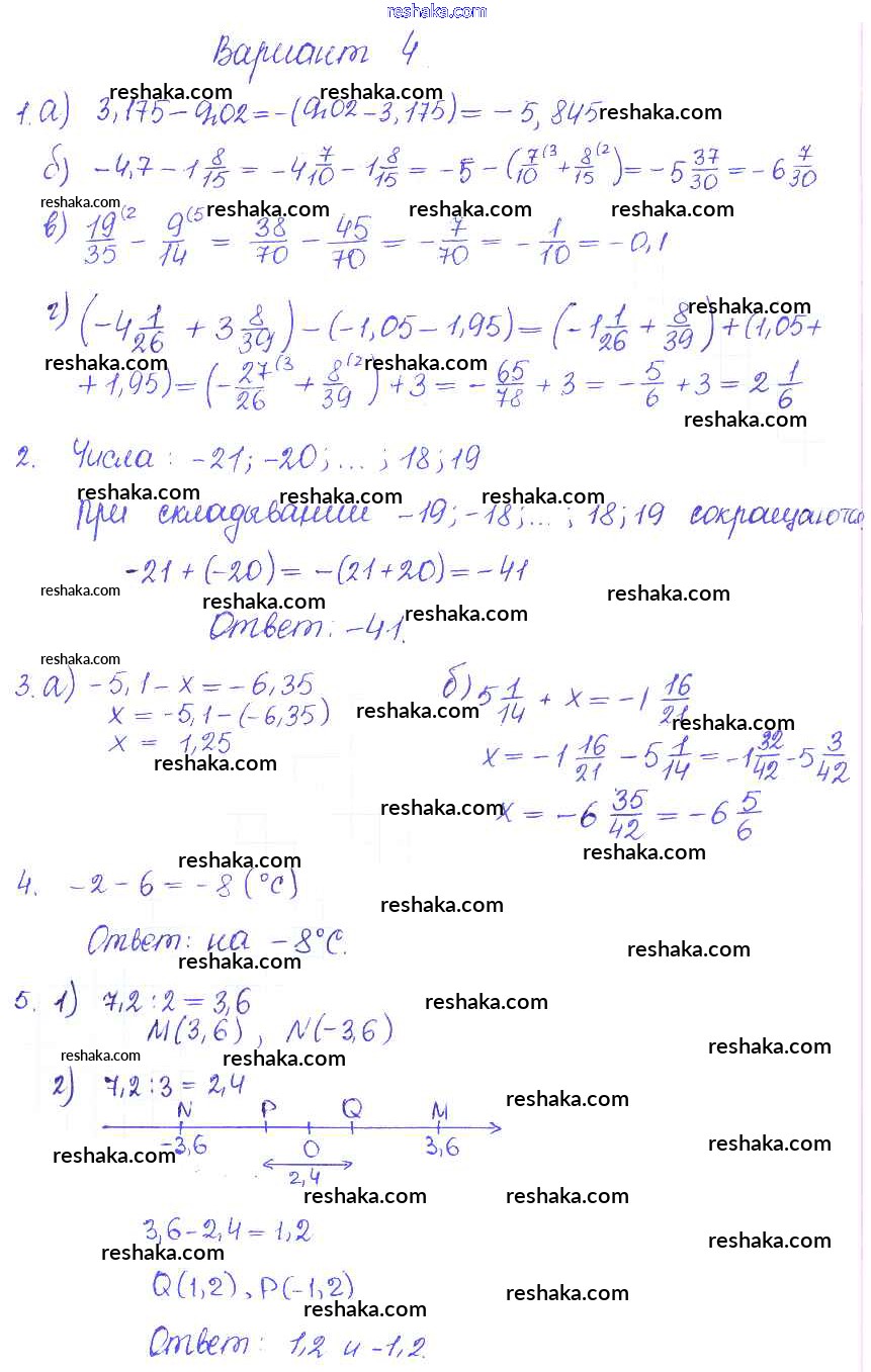
контрольная работа / кр-6. вариант / 4

Представляем вам сборники по Математике, с готовыми ответами к Контрольным и самостоятельным работам Журавлев школьной программы для учеников шестой класса. Это не просто гдз с ответом, а с подсказками, как верно решить КР-6. Варианты Контрольные работы 4. Проверяй домашку с умом и получай высший балл!