Решака - онлайн ответы Математика Журавлев, Изотова за 6 класс Контрольные и самостоятельные работы ФГОС 2015 - 2
Решебник
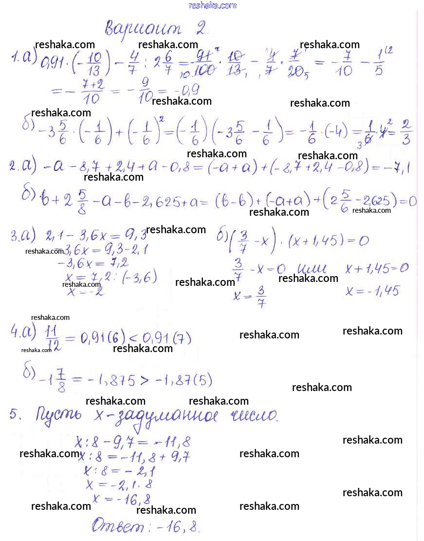
контрольная работа / кр-7. вариант / 2

Представляем вам сборники по Математике, с готовыми ответами к Контрольным и самостоятельным работам Журавлев школьной программы для учеников шестой класса. Это не просто гдз с ответом, а с подсказками, как верно решить КР-7. Варианты Контрольные работы 2. Проверяй домашку с умом и получай высший балл!