Лого сайта Reshaka.com

Решака - онлайн ответы Математика Зубарева, Лепешонкова за 6 класс Самостоятельные работы ФГОС 2020 - 2

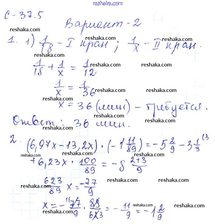
Представляем вам сборники по Математике, с готовыми ответами к Самостоятельным работам Зубарева школьной программы для учеников шестой класса. Это не просто гдз с ответом, а с подсказками, как верно решить 5. Варианты СР-37 2. Проверяй домашку с умом и получай высший балл!