Решака - онлайн ответы Математика Зубарева, Мордкович за 6 класс Учебник ФГОС 2015 - 487
Решебник 1
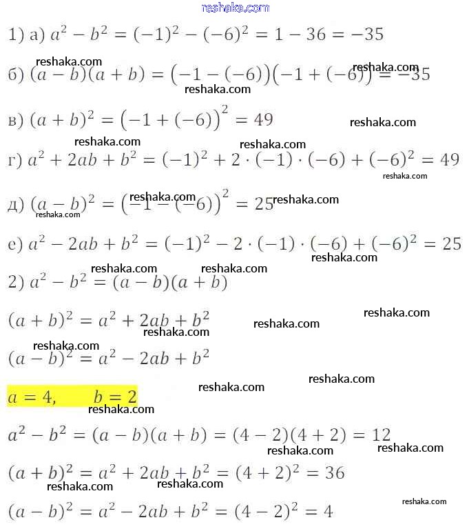
упражнение / 487

Решебник 2
упражнение / 487

Решебник 3
упражнение / 487

Представляем вам сборники по Математике, с готовыми ответами к Учебнику Зубарева школьной программы для учеников шестой класса. Это не просто гдз с ответом, а с подсказками, как верно решить Упражнения 487. Проверяй домашку с умом и получай высший балл!